Discussion 8: Linked Lists, Mutable Trees, Efficiency
Representation: Repr, Str
Q1: WWPD: Repr-esentation
Note: This is not the typical way
repris used, nor is this way of writingreprrecommended, this problem is mainly just to make sure you understand howreprandstrwork.
class A:
def __init__(self, x):
self.x = x
def __repr__(self):
return self.x
def __str__(self):
return self.x * 2
class B:
def __init__(self):
print('boo!')
self.a = []
def add_a(self, a):
self.a.append(a)
def __repr__(self):
print(len(self.a))
ret = ''
for a in self.a:
ret += str(a)
return ret
Given the above class definitions, what will the following lines output?
>>> A('one')
>>> print(A('one'))
>>> repr(A('two'))
>>> b = B()
>>> b.add_a(A('a'))
>>> b.add_a(A('b'))
>>> b
Linked Lists
There are many different implementations of sequences in Python. Today, we'll explore the linked list implementation.
A linked list is either an empty linked list, or a Link object containing a
first value and the rest of the linked list.
To check if a linked list is an empty linked list, compare it against the class
attribute Link.empty:
if link is Link.empty:
print('This linked list is empty!')
else:
print('This linked list is not empty!')
You can find an implementation of the Link class below:
class Link:
"""A linked list."""
empty = ()
def __init__(self, first, rest=empty):
assert rest is Link.empty or isinstance(rest, Link)
self.first = first
self.rest = rest
def __repr__(self):
if self.rest:
rest_repr = ', ' + repr(self.rest)
else:
rest_repr = ''
return 'Link(' + repr(self.first) + rest_repr + ')'
def __str__(self):
string = '<'
while self.rest is not Link.empty:
string += str(self.first) + ' '
self = self.rest
return string + str(self.first) + '>'
Q2: The Hy-rules of Linked Lists
In this question, we are given the following Linked List:
ganondorf = Link('zelda', Link('link', Link('sheik', Link.empty)))
What expression would give us the value 'sheik' from this Linked List?
ganondorf.rest.rest.first
What is the value of ganondorf.rest.first?
'link'
What would be the value of str(ganondorf)?
'<zelda link sheik>'
What expression would mutate this linked list to <zelda ganondorf sheik>?
ganondorf.rest.first = 'ganondorf'
Q3: Sum Nums
Write a function that takes in a linked list and returns the sum of all
its elements. You may assume all elements in s are integers. Try to implement this recursively!
def sum_nums(s):
"""
>>> a = Link(1, Link(6, Link(7)))
>>> sum_nums(a)
14
"""
if s == Link.empty:
return 0
return s.first + sum_nums(s.rest)
Q4: Multiply Links
Write a function that takes in a Python list of linked lists and multiplies them element-wise. It should return a new linked list.
If not all of the Link objects are of equal length, return a
linked list whose length is that of the shortest linked list given. You
may assume the Link objects are shallow linked lists, and that
lst_of_lnks contains at least one linked list.
def multiply_lnks(lst_of_lnks):
"""
>>> a = Link(2, Link(3, Link(5)))
>>> b = Link(6, Link(4, Link(2)))
>>> c = Link(4, Link(1, Link(0, Link(2))))
>>> p = multiply_lnks([a, b, c])
>>> p.first
48
>>> p.rest.first
12
>>> p.rest.rest.rest is Link.empty
True
"""
# Implementation Note: you might not need all lines in this skeleton code
product = 1
for lnk in lst_of_lnks:
if lnk is Link.empty:
return Link.empty
product *= lnk.first
lst_of_lnks_rests = [lnk.rest for lnk in lst_of_lnks]
return Link(product, multiply_lnks(lst_of_lnks_rests))
Links is empty, we can return the empty linked list as we're not going
to multiply anything.
Otherwise, we compute the product of all the firsts in our list of
Links. Then, the subproblem we use here is the rest of all the linked
lists in our list of Links. Remember that the result of calling
multiply_lnks will be a linked list! We'll use the product we've
built so far as the first item in the returned Link, and then the
result of the recursive call as the rest of that Link.
Next, we have the iterative solution:
def multiply_lnks(lst_of_lnks):
"""
>>> a = Link(2, Link(3, Link(5)))
>>> b = Link(6, Link(4, Link(2)))
>>> c = Link(4, Link(1, Link(0, Link(2))))
>>> p = multiply_lnks([a, b, c])
>>> p.first
48
>>> p.rest.first
12
>>> p.rest.rest.rest is Link.empty
True
"""
# Alternate iterative approach
import operator
from functools import reduce
def prod(factors):
return reduce(operator.mul, factors, 1)
head = Link.empty
tail = head
while Link.empty not in lst_of_lnks:
all_prod = prod([l.first for l in lst_of_lnks])
if head is Link.empty:
head = Link(all_prod)
tail = head
else:
tail.rest = Link(all_prod)
tail = tail.rest
lst_of_lnks = [l.rest for l in lst_of_lnks]
return head
The iterative solution is a bit more involved than the recursive solution. Instead of building the list **backwards** as in the recursive solution (because of the order that the recursive calls result in, the last item in our list will be finished first), we'll build the resulting linked list as we go along.
We usehead and tail to track the front and end of the new
linked list we're creating. Our stopping condition for the loop is if any of the
Links in our list of Links runs out of items.
Finally, there's some special handling for the first item. We need to update both head and tail in that case. Otherwise, we just append to the end of our list using tail, and update tail.
Q5: Flip Two
Write a recursive function flip_two that takes as input a
linked list s and mutates s so that every pair
is flipped.
def flip_two(s):
"""
>>> one_lnk = Link(1)
>>> flip_two(one_lnk)
>>> one_lnk
Link(1)
>>> lnk = Link(1, Link(2, Link(3, Link(4, Link(5)))))
>>> flip_two(lnk)
>>> lnk
Link(2, Link(1, Link(4, Link(3, Link(5)))))
"""
# Recursive solution:
if s is Link.empty or s.rest is Link.empty:
return
s.first, s.rest.first = s.rest.first, s.first
flip_two(s.rest.rest)
# For an extra challenge, try writing out an iterative approach as well below!
return # separating recursive and iterative implementations
# Iterative approach
while s is not Link.empty and s.rest is not Link.empty:
s.first, s.rest.first = s.rest.first, s.first
s = s.rest.rest
Otherwise, we swap the contents of the first and second items in the list. Since
we've handled the first two items, we then need to recurse on s.rest.rest.
Although the question explicitly asks for a recursive solution, there is also a fairly similar iterative solution (see python solution).
We will advance s until we see there are no more items or there is
only one more Link object to process. Processing each Link involves
swapping the contents of the first and second items in the list (same as the
recursive solution).
Trees
We define a tree to be a recursive data abstraction that has a label (the value stored in the root of the tree) and branches (a list of trees directly underneath the root). Previously, we implemented the tree abstraction using Python lists. Let's look at another implementation using objects instead:
class Tree:
def __init__(self, label, branches=[]):
for b in branches:
assert isinstance(b, Tree)
self.label = label
self.branches = branches
def is_leaf(self):
return not self.branches
With this implementation, we can mutate a tree using attribute assignment, which wasn't possible in the previous implementation using lists. That's why we sometimes call these objects "mutable trees."
>>> t = Tree(3, [Tree(4), Tree(5)])
>>> t.label = 5
>>> t.label
5
Q6: Make Even
Define a function make_even which takes in a tree
t whose values are integers, and mutates the tree such that all the
odd integers are increased by 1 and all the even integers remain the same.
def make_even(t):
"""
>>> t = Tree(1, [Tree(2, [Tree(3)]), Tree(4), Tree(5)])
>>> make_even(t)
>>> t.label
2
>>> t.branches[0].branches[0].label
4
"""
if t.label % 2 != 0:
t.label += 1
for branch in t.branches:
make_even(branch)
return
# Alternate Solution
t.label += t.label % 2
for branch in t.branches:
make_even(branch)
return
Q7: Add Leaves
Implement add_d_leaves, a function that takes in a Tree instance t and a number v.
We define the depth of a node in t to be the number of edges from the root to that node. The depth of root is therefore 0.
For each node in the tree, you should add d leaves to it, where d is the depth of the node. Every added leaf should have a label of v. If the node at this depth has existing branches, you should add these leaves to the end of that list of branches.
For example, you should be adding 1 leaf with label v to each node at depth 1, 2 leaves to each node at depth 2, and so on.
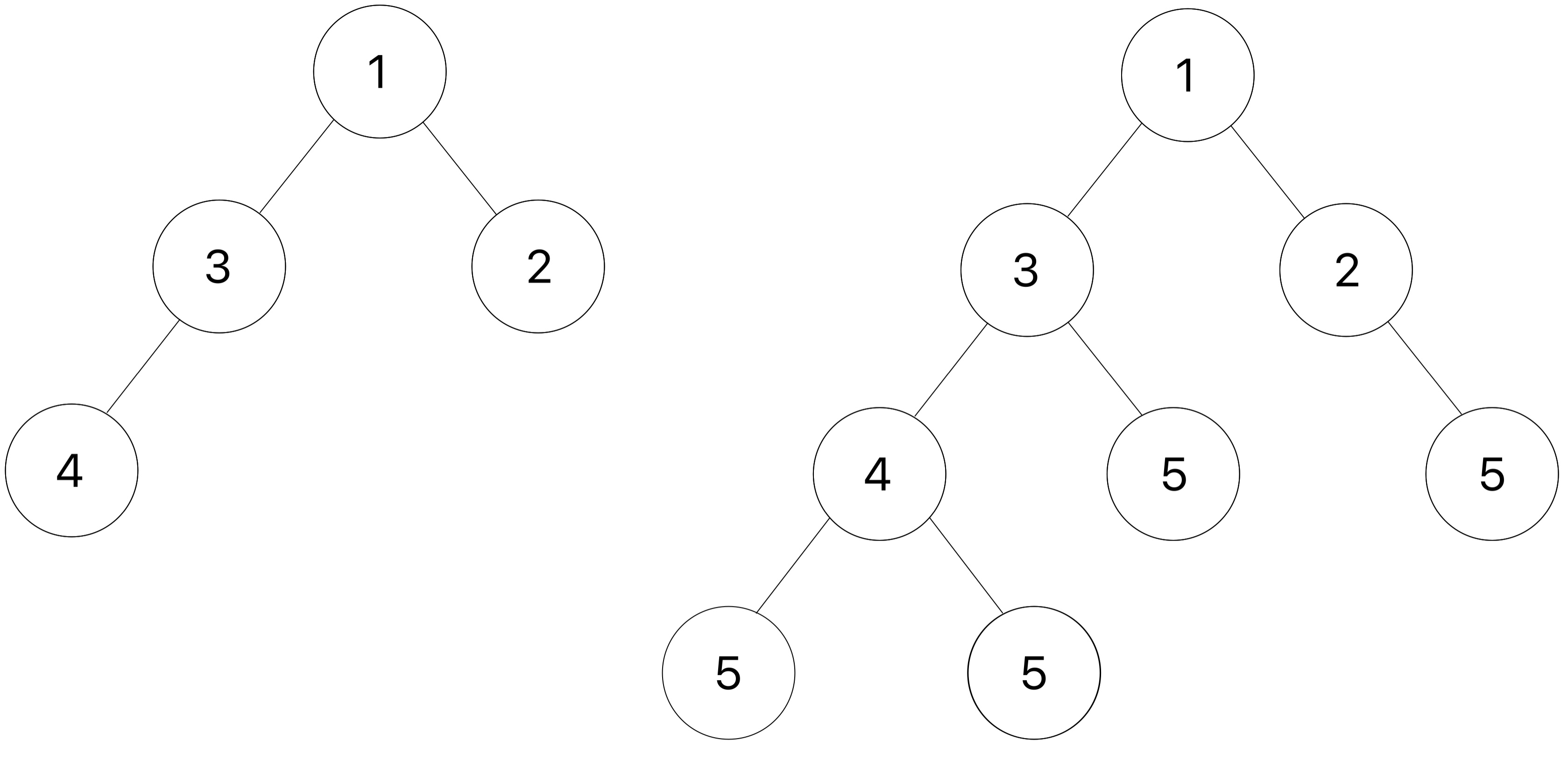
Here is an example of a tree t(shown on the left) and the result after add_d_leaves is applied with v as 5.

Try drawing out the second doctest to visualize how the function is mutating
t3.
Your Answer Run in 61A CodeHint: Use a helper function to keep track of the depth!
def add_d_leaves(t, v):
"""Add d leaves containing v to each node at every depth d.
>>> t_one_to_four = Tree(1, [Tree(2), Tree(3, [Tree(4)])])
>>> print(t_one_to_four)
1
2
3
4
>>> add_d_leaves(t_one_to_four, 5)
>>> print(t_one_to_four)
1
2
5
3
4
5
5
5
>>> t1 = Tree(1, [Tree(3)])
>>> add_d_leaves(t1, 4)
>>> t1
Tree(1, [Tree(3, [Tree(4)])])
>>> t2 = Tree(2, [Tree(5), Tree(6)])
>>> t3 = Tree(3, [t1, Tree(0), t2])
>>> print(t3)
3
1
3
4
0
2
5
6
>>> add_d_leaves(t3, 10)
>>> print(t3)
3
1
3
4
10
10
10
10
10
10
0
10
2
5
10
10
6
10
10
10
"""
def add_leaves(t, d):
for b in t.branches:
add_leaves(b, d + 1)
t.branches.extend([Tree(v) for _ in range(d)])
add_leaves(t, 0)
add_d_leaves on each branch to add the
leaves to the branches. However, notice that each recursive call would need to
know what the current depth is in order to add that many leaves. We could try
initializing a variable within the body of the function, but by now we know
that in order to keep track of changing values across recursive calls we should
use a helper function!
The helper function should take in a tree and a depth value, and we will define
it as a function that adds d leaves to the branches of the root node, d + 1
leaves to the branches of each of the root node's branches, and so on:
def add_leaves(t, d):
"""Adds a number of leaves to each node in t equivalent to the depth of
the node, assuming that the root node is at depth d, the children of
the root node are at depth d + 1, and so on."""
...
We don't need a parameter for v since that value won't change and we can
access it from the parent frame. With this function defined as such, we can
call add_leaves with arguments t and 0 to add leaves starting at depth 0.
def add_d_leaves(t, v):
def add_leaves(t, d):
"""Adds a number of leaves to each node in t equivalent to the depth of
the node, assuming that the root node is at depth d, the children of
the root node are at depth d + 1, and so on."""
...
add_leaves(t, 0)
Inside the helper function, we can now call it recursively on each branch.
Each node's branch is one depth level greater than the node itself, so we
should update d to d + 1:
def add_leaves(t, d):
for b in t.branches:
add_leaves(b, d + 1)
...
Now that we've made these recursive calls, let's take a step back and look at our progress. Taking the leap of faith, we know that each recursive call should've successfully added the correct number of leaves at each node in each branch. That means that the only step left is to add the correct number of leaves to the current node!
The parameter d tells us how many leaves to add at this node. Since we are
mutating t to add these leaves, we need to mutate the list of t's branches.
We know a few different ways to mutatively add elements to a list:insert,
append, and extend. Which one makes most sense to use here? Well, we know that
we have to add d elements to the end of t.branches. Index doesn't matter
so we can rule out insert. append is good for adding a single element, while
extend is useful for adding multiple elements contained in a list, so let's
use extend!
The input to extend should be a list, so how do we create a list with the
leaves that we need? The most concise way is with a list comprehension. To
create each leaf, we call Tree(v):
[Tree(v) for _ in range(d)]
Now, we just have to extend t.branches by this list:
def add_leaves(t, d):
for b in t.branches:
add_leaves(b, d + 1)
t.branches.extend([Tree(v) for _ in range(d)])
Do we need an explicitly base case? Let's take a look at what happens when t
is a leaf. In that case, t.branches would be an empty list, so we would not
enter the for loop. Then, the function will extend t.branches, which is an
empty list, by a list containing the new leaves. This is exactly the desired
result, so no base case is needed!
Efficiency (Orders of Growth)
When we talk about the efficiency of a function, we are often interested in the following: as the size of the input grows, how does the runtime of the function change? And what do we mean by runtime?
Example 1: square(1) requires one primitive operation: multiplication.
square(100) also requires one. No matter what input n we pass into square, it always takes a constant number of operations (1). In other words, this function has a runtime complexity of Θ(1).
As an illustration, check out the table below:
| input | function call | return value | operations |
|---|---|---|---|
| 1 | square(1) |
1*1 | 1 |
| 2 | square(2) |
2*2 | 1 |
| ... | ... | ... | ... |
| 100 | square(100) |
100*100 | 1 |
| ... | ... | ... | ... |
| n | square(n) |
n*n | 1 |
Example 2: factorial(1) requires one multiplication, but factorial(100) requires 100 multiplications. As we increase the input size of n, the runtime (number of operations) increases linearly proportional to the input. In other words, this function has a runtime complexity of Θ(n).
As an illustration, check out the table below:
| input | function call | return value | operations |
|---|---|---|---|
| 1 | factorial(1) |
1*1 | 1 |
| 2 | factorial(2) |
2*1*1 | 2 |
| ... | ... | ... | ... |
| 100 | factorial(100) |
100*99*...*1*1 | 100 |
| ... | ... | ... | ... |
| n | factorial(n) |
n*(n-1)*...*1*1 | n |
Example 3: Consider the following function:
def bar(n):
for a in range(n):
for b in range(n):
print(a,b)
bar(1) requires 1 print statements, while bar(100) requires 100*100 = 10000 print statements (each time a increments, we have 100 print statements due to the inner for loop). Thus, the runtime increases quadratically proportional to the input. In other words, this function has a runtime complexity of Θ(n^2).
| input | function call | operations (prints) |
|---|---|---|
| 1 | bar(1) |
1 |
| 2 | bar(2) |
4 |
| ... | ... | ... |
| 100 | bar(100) |
10000 |
| ... | ... | ... |
| n | bar(n) |
n^2 |
Example 4: Consder the following function:
def rec(n):
if n == 0:
return 1
else:
return rec(n - 1) + rec(n - 1)
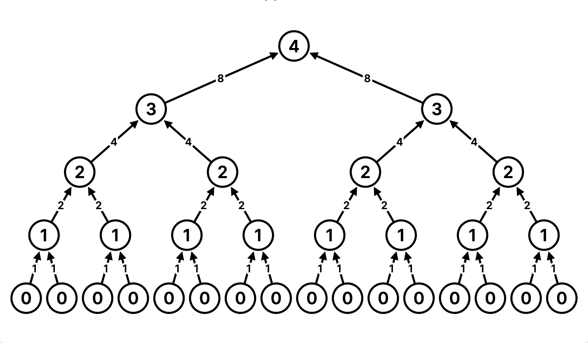
rec(1) requires one addition, as it returns rec(0) + rec(0), and rec(0) hits the base case and requires no further additions. but rec(4) requires 2^4 - 1 = 15 additions. To further understand the intuition, we can take a look at the recurisve tree below. To get rec(4), we need one addition. We have two calls to rec(3), which each require one addition, so this level needs two additions. Then we have four calls to rec(2), so this level requires four additions, and so on down the tree. In total, this adds up to 1 + 2 + 4 + 8 = 15 additions.

As we increase the input size of n, the runtime (number of operations) increases exponentially proportional to the input. In other words, this function has a runtime complexity of Θ(2^n).
As an illustration, check out the table below:
| input | function call | return value | operations |
|---|---|---|---|
| 1 | rec(1) |
2 | 1 |
| 2 | rec(2) |
4 | 3 |
| ... | ... | ... | ... |
| 10 | rec(10) |
1024 | 1023 |
| ... | ... | ... | ... |
| n | rec(n) |
2^n |
2^n |
Here are some general guidelines for finding the order of growth for the runtime of a function:
If the function is recursive or iterative, you can subdivide the problem as seen above:
- Count the number of recursive calls/iterations that will be made in terms of input size
n. - Find how much work is done per recursive call or iteration in terms of input size
n. - The answer is usually the product of the above two, but be sure to pay attention to control flow!
- Count the number of recursive calls/iterations that will be made in terms of input size
- If the function calls helper functions that are not constant-time, you need to take the runtime of the helper functions into consideration.
- We can ignore constant factors. For example
1000000nandnsteps are both linear. - We can also ignore smaller factors. For example if
hcallsfandg, andfis Quadratic whilegis linear, thenhis Quadratic. For the purposes of this class, we take a fairly coarse view of efficiency. All the problems we cover in this course can be grouped as one of the following:
- Constant: the amount of time does not change based on the input size. Rule:
n --> 2nmeanst --> t. - Logarithmic: the amount of time changes based on the logarithm of the input size. Rule:
n --> 2nmeanst --> t + k. - Linear: the amount of time changes with direct proportion to the size of the input. Rule:
n --> 2nmeanst --> 2t. - Quadratic: the amount of time changes based on the square of the input size. Rule:
n --> 2nmeanst --> 4t. - Exponential: the amount of time changes with a power of the input size. Rule:
n --> n + 1meanst --> 2t.
- Constant: the amount of time does not change based on the input size. Rule:
Q8: WWPD: Orders of Growth
What is the worst case (i.e. when n is prime) order of growth of is_prime in terms of n?
def is_prime(n):
for i in range(2, n):
if n % i == 0:
return False
return True
Choose one of:
- Constant
- Logarithmic
- Linear
- Quadratic
- Exponential
- None of these
Linear (Θ(n)).
Explanation: In the worst case, n is prime, and we have to execute the loop n - 2 times. Each iteration takes constant time (one conditional check and one return statement). Therefore, the total time is (n - 2) x constant, or simply linear.
What is the order of growth of bar in terms of n?
def bar(n):
i, sum = 1, 0
while i <= n:
sum += biz(n)
i += 1
return sum
def biz(n):
i, sum = 1, 0
while i <= n:
sum += i**3
i += 1
return sum
Choose one of:
- Constant
- Logarithmic
- Linear
- Quadratic
- Exponential
- None of these
Quadratic Θ(n2).
Explanation:
The body of the while loop in bar is executed n times.
Each iteration, one call to biz(n) is made. Note that n never changes,
so this call takes the same time to run each iteration.
Taking a look at biz, we see that there is another while loop. Be careful
to note that although the term being added to sum is cubed (i**3),
i itself is only incremented by 1 in each iteration.
This tells us that this while loop also executes n times, with each iteration
taking constant time, so the total time of biz(n) is n x constant, or linear.
Knowing that each call to biz(n) takes linear time,
we can conclude that each iteration of the while loop in bar is linear.
Therefore, the total runtime of bar(n) is quadratic.
What is the order of growth of foo in terms of n, where n is the length
of lst? Assume that slicing a list and calling len on a list can both be
done in constant time. Write your answer in Θ notation.
def foo(lst, i):
mid = len(lst) // 2
if mid == 0:
return lst
elif i > 0:
return foo(lst[mid:], -1)
else:
return foo(lst[:mid], 1)
Explanation: A single recursive call is made in the body of foo on half the
input list (either the first half or the second half depending on the input
flag i). The base case is executed when the list either is empty or has only
one element. We start with an n element list and halve the list until there
is at most 1 element, which means there will be log(n) total calls. Each
call, constant work is done if we ignore the recursive call. The total runtime
is then log(n) * θ(1).
Note: We simplified this problem by assuming that slicing a list takes constant time. In reality, this operation is a bit more nuanced and may take linear time. As an additional exercise, try determining the order of growth of this function if we assuming slicing takes linear time.