Discussion 5: Sequences, Data Abstraction, Trees
Sequences
Sequences are ordered collections of values that support element-selection and have length. We've worked with lists, but other Python types are also sequences, including strings.
Let us go through an example of some actions we can do with strings.
>>> x = 'Hello there Oski!'
>>> x
'Hello there Oski!'
>>> len(x)
17
>>> x[6:]
'there Oski!'
>>> x[::-1]
'!iksO ereht olleH'
Since strings are sequences, we can do with strings many of the same things that we can do to lists. We can even loop through a string just like we can with a list:
>>> x = 'I am not Oski.'
>>> vowel_count = 0
>>> for i in range(len(x)):
... if x[i] in 'aeiou':
... vowel_count += 1
>>> vowel_count
5
Q1: Map, Filter, Reduce
Many languages provide map, filter, reduce functions for sequences.
Python also provides these functions
(and we'll formally introduce them later on in the course),
but to help you better understand how they work,
you'll be implementing these functions in the following problems.
In Python, the
mapandfilterbuilt-ins have slightly different behavior than themy_mapandmy_filterfunctions we are defining here.
my_map takes in a one argument function fn and a sequence seq and returns a
list containing fn applied to each element in seq.
def my_map(fn, seq):
"""Applies fn onto each element in seq and returns a list.
>>> my_map(lambda x: x*x, [1, 2, 3])
[1, 4, 9]
"""
result = []
for elem in seq:
result = result + [fn(elem)]
return result
# One-liner solution
return [fn(elem) for elem in seq]
my_filter takes in a predicate function pred and a sequence seq and returns a
list containing all elements in seq for which pred returns True. (A predicate function
is a function that takes in an argument and returns either True or False.)
def my_filter(pred, seq):
"""Keeps elements in seq only if they satisfy pred.
>>> my_filter(lambda x: x % 2 == 0, [1, 2, 3, 4]) # new list has only even-valued elements
[2, 4]
"""
result = []
for elem in seq:
if pred(elem):
result = result + [elem]
return result
# One-liner solution
return [elem for elem in seq if pred(elem)]
my_reduce takes in a two argument function combiner and a non-empty sequence
seq and combines the elements in seq into one value using combiner.
def my_reduce(combiner, seq):
"""Combines elements in seq using combiner.
seq will have at least one element.
>>> my_reduce(lambda x, y: x + y, [1, 2, 3, 4]) # 1 + 2 + 3 + 4
10
>>> my_reduce(lambda x, y: x * y, [1, 2, 3, 4]) # 1 * 2 * 3 * 4
24
>>> my_reduce(lambda x, y: x * y, [4])
4
>>> my_reduce(lambda x, y: x + 2 * y, [1, 2, 3]) # (1 + 2 * 2) + 2 * 3
11
"""
total = seq[0]
for elem in seq[1:]:
total = combiner(total, elem)
return total
Q2: Count Palindromes
Write a function that counts the number of palindromes
(any string that reads the same forwards as it does when read backwards)
in a sequence of strings using only lambda, string operations, conditional expressions, and the functions we defined above(my_filter, my_map, my_reduce). Specifically, do not use recursion or any kind of loop.
def count_palindromes(L):
"""The number of palindromic strings in the sequence of strings
L (ignoring case).
>>> count_palindromes(("Acme", "Madam", "Pivot", "Pip"))
2
>>> count_palindromes(["101", "rAcECaR", "much", "wow"])
3
"""
return len(my_filter(lambda s: s.lower() == s[::-1].lower(), L))
Hint: The easiest way to get the reversed version of a string s is
to use the Python slicing notation trick s[::-1]. Also, the function
lower, when called on strings, converts all of the characters in the
string to lowercase. For instance, if the variable s contains the
string "PyThoN", the expression s.lower() evaluates to "python".
Data Abstraction
Data abstraction is a powerful concept in computer science that allows programmers to treat code as objects. For example, using code to represent cars, chairs, people, and so on. That way, programmers don't have to worry about how code is implemented; they just have to know what it does.
Data abstraction mimics how we think about the world. If you want to drive a car, you don't need to know how the engine was built or what kind of material the tires are made of to do so. You just have to know how to use the car for driving itself, such as how to turn the wheel or press the gas pedal.
A data abstraction consists of two types of functions:
- Constructors: functions that build the abstract data type.
- Selectors: functions that retrieve information from the data type.
Programmers design data abstractions to abstract away how information is stored and calculated such that the end user does not need to know how constructors and selectors are implemented. The nature of abstraction allows whoever uses them to assume that the functions have been written correctly and work as described.
Trees
One example of data abstraction is with trees.
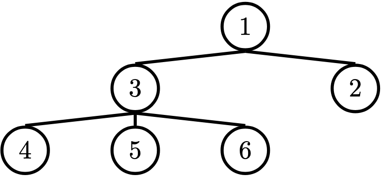
In computer science, trees are recursive data structures that are widely used in various settings and can be implemented in many ways. The diagram below is an example of a tree.

Notice that the tree branches downward. In computer science, the root of a tree starts at the top, and the leaves are at the bottom.
Some terminology regarding trees:
- Parent Node: A node that has at least one branch.
- Child Node: A node that has a parent. A child node can only have one parent.
- Root: The top node of the tree.
In our example, this is the
1node. - Label: The value at a node. In our example, every node's label is an integer.
- Leaf: A node that has no branches.
In our example, the
4,5,6,2nodes are leaves. - Branch: A subtree of the root. Trees have branches, which are trees themselves: this is why trees are recursive data structures.
- Depth: How far away a node is from the root.
We define this as the number of edges between the root to the node.
As there are no edges between the root and itself, the root has depth 0.
In our example, the
3node has depth 1 and the4node has depth 2. - Height: The depth of the lowest (furthest from the root) leaf.
In our example, the
4,5, and6nodes are all the lowest leaves with depth 2. Thus, the entire tree has height 2.
In computer science, there are many different types of trees. Some vary in the number of branches each node has; others vary in the structure of the tree.
Working with Trees
A tree has both a value for the root node and a sequence of branches, which are also trees. In our implementation, we represent the branches as a list of trees. Since a tree is a data abstraction, our choice to use lists is just an implementation detail.
- The arguments to the constructor
treeare the value for the root node and an optional list of branches. If no branches parameter is provided, the default value[]is used. - The selectors for these are
labelandbranches.
Remember branches returns a list of trees and not a tree directly.
It's important to distinguish between working with a tree and working with a list of trees.
We have also provided a convenience function, is_leaf.
Let's try to create the tree from above:
t = tree(1,
[tree(3,
[tree(4),
tree(5),
tree(6)]),
tree(2)])
Tree Data Abstraction Implementation
For your reference, we have provided our implementation of trees as a data abstraction.
def tree(label, branches=[]):
"""Construct a tree with the given label value and a list of branches."""
return [label] + list(branches)
def label(tree):
"""Return the label value of a tree."""
return tree[0]
def branches(tree):
"""Return the list of branches of the given tree."""
return tree[1:]
def is_leaf(tree):
"""Returns True if the given tree's list of branches is empty, and False
otherwise.
"""
return not branches(tree)
Q3: Tree Abstraction Barrier
Consider a tree t constructed by calling
tree(1, [tree(2), tree(4)]). For each of the following expressions,
answer these two questions:
- What does the expression evaluate to?
- Does the expression violate any abstraction barriers? If so, write an equivalent expression that does not violate abstraction barriers.
label(t)Evaluates to 1, the label of the entire tree. This is simply using a selector to get the label, which is not violating any abstraction barriers.
t[0]This expression evaluates to 1, the label of the entire tree. However, it makes use of the fact that trees are implemented using lists, and violates the abstraction barrier. An equivalent expression is
label(t).label(branches(t)[0])This expression evaluates to the label of the first branch of
t. It is not a violation to index intobranches(t)because it is given in the description of the ADT thatbranches(t)returns a list of branches.is_leaf(t[1:][1])This expression accesses the branches of
tby slicingt. Although this works because this is technically whatbranches(t)returns, this is an abstraction violation because we cannot assume the implementation ofbranches(t).It then accesses the second branch by indexing into the list of branches, which is not an abstraction violation because we are allowed to assume that branches is a list. This expression evaluates to
Truebecause the second branch oftis a leaf. An equivalent expression isis_leaf(branches(t)[1]).[label(b) for b in branches(t)]This expression uses the
branchesselector to access the branches oftand then iterates through it to construct a new list containing the labels of the branches. The result list is[2, 4]. It does not violate any abstraction barriers.Challenge:
branches(tree(5, [t, tree(3)]))[0][0]This expression evaluates to the label of the tree
t, which is 1. This is because the expressiontree(5, [t, tree(3)])evaluates to a tree whose first branch is the treetthat we constructed above! Howvever, this expression violates the abstraction barrier by indexing intotto get its label. An equivalent expression would belabel(branches(tree(5, [t, tree(3)]))[0]).
Q4: Height
Write a function that returns the height of a tree. Recall that the height of a tree is the length of the longest path from the root to a leaf.
Your Answer Run in 61A Codedef height(t):
"""Return the height of a tree.
>>> t = tree(3, [tree(5, [tree(1)]), tree(2)])
>>> height(t)
2
>>> t = tree(3, [tree(1), tree(2, [tree(5, [tree(6)]), tree(1)])])
>>> height(t)
3
"""
# Non-list comprehension solution
if is_leaf(t):
return 0
best_height = 0
for b in branches(t):
best_height = max(height(b), best_height)
return best_height + 1
# List comprehension solution
if is_leaf(t):
return 0
return 1 + max([height(branch) for branch in branches(t)])
# Alternate solutions
return 1 + max([-1] + [height(branch) for branch in branches(t)])
return max([1 + height(b) for b in branches(t)], default=0)
Q5: Maximum Path Sum
Write a function that takes in a tree and returns the maximum sum of the values along any path in the tree. Recall that a path is from the tree's root to any leaf.
Your Answer Run in 61A Codedef max_path_sum(t):
"""Return the maximum path sum of the tree.
>>> t = tree(1, [tree(5, [tree(1), tree(3)]), tree(10)])
>>> max_path_sum(t)
11
"""
# Non-list comprehension solution
if is_leaf(t):
return label(t)
highest_sum = 0
for b in branches(t):
highest_sum = max(max_path_sum(b), highest_sum)
return label(t) + highest_sum
# List comprehension solution
if is_leaf(t):
return label(t)
else:
return label(t) + max([max_path_sum(b) for b in branches(t)])
Q6: Find Path
Write a function that takes in a tree and a value x and returns a list containing the nodes along the path required to get from the root of
the tree to a node containing x.
If x is not present in the tree, return None. Assume that the entries of the tree are unique.
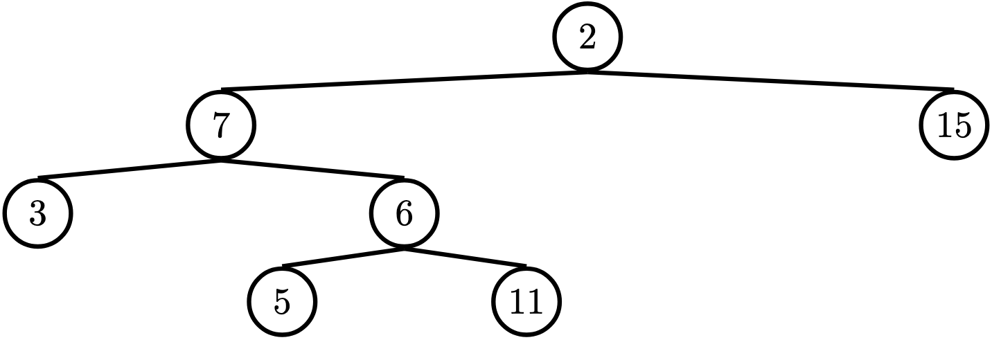
For the following tree, find_path(t, 5) should return [2, 7, 6, 5]

def find_path(t, x):
"""
>>> t = tree(2, [tree(7, [tree(3), tree(6, [tree(5), tree(11)])] ), tree(15)])
>>> find_path(t, 5)
[2, 7, 6, 5]
>>> find_path(t, 10) # returns None
"""
if label(t) == x:
return [label(t)]
for b in branches(t):
path = find_path(b, x)
if path:
return [label(t)] + path
Additional Practice
Q7: Perfectly Balanced
Part A:
Implement sum_tree, which returns the sum of all the labels in tree t.
Part B:
Implement balanced, which returns whether every branch of t has the
same total sum and that the branches themselves are also balanced.
Challenge: Solve both of these parts with just 1 line of code each.
Your Answer Run in 61A Codedef sum_tree(t):
"""
Add all elements in a tree.
>>> t = tree(4, [tree(2, [tree(3)]), tree(6)])
>>> sum_tree(t)
15
"""
total = 0
for b in branches(t):
total += sum_tree(b)
return label(t) + total
def balanced(t):
"""
Checks if each branch has same sum of all elements and
if each branch is balanced.
>>> t = tree(1, [tree(3), tree(1, [tree(2)]), tree(1, [tree(1), tree(1)])])
>>> balanced(t)
True
>>> t = tree(1, [t, tree(1)])
>>> balanced(t)
False
>>> t = tree(1, [tree(4), tree(1, [tree(2), tree(1)]), tree(1, [tree(3)])])
>>> balanced(t)
False
"""
for b in branches(t):
if sum_tree(branches(t)[0]) != sum_tree(b) or not balanced(b):
return False
return True
Q8: Hailstone Tree
We can represent the hailstone sequence as a tree in the figure below,
showing the route different numbers take to reach 1. Remember that a hailstone
sequence starts with a number n, continuing to n/2 if n is even or 3n+1
if n is odd, ending with 1. Write a function hailstone_tree(n, h)
which generates a tree of height h, containing hailstone numbers that
will reach n.
Your Answer Run in 61A CodeHint: A node of a hailstone tree will always have at least one, and at most two branches (which are also hailstone trees). Under what conditions do you add the second branch?
def hailstone_tree(n, h):
"""Generates a tree of hailstone numbers that will reach N, with height H.
>>> print_tree(hailstone_tree(1, 0))
1
>>> print_tree(hailstone_tree(1, 4))
1
2
4
8
16
>>> print_tree(hailstone_tree(8, 3))
8
16
32
64
5
10
"""
if h == 0:
return tree(n)
branches = [hailstone_tree(n * 2, h - 1)]
if (n - 1) % 3 == 0 and ((n - 1) // 3) % 2 == 1 and (n - 1) // 3 > 1:
branches += [hailstone_tree((n - 1) // 3, h - 1)]
return tree(n, branches)
def print_tree(t):
def helper(i, t):
print(" " * i + str(label(t)))
for b in branches(t):
helper(i + 1, b)
helper(0, t)